Chương 1: Introduction - 10.Algorithms Analysis: Problems & Solutions(21-30)
Bài đăng này đã không được cập nhật trong 2 năm
Từ đây tới chương 2 sẽ là các bài viết về bài tập nhằm giúp các bạn hiểu hơn về những lý thuyết đã qua.
Để không quá dài, mình sẽ chỉ để khoảng từ 8-10 bài tập mỗi bài viết.
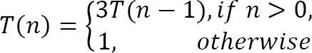
Problem-21
Tìm độ phức tạp của hàm đệ quy:

Solution: Chúng ta hãy thử giải quyết function này bằng cách substitution(thay thế):
...
Điều này cho thấy rõ ràng rằng độ phức tạp của hàm này là .
Note: Chúng ta cũng có thể sử dụng các định lý về Subtraction and Conquer cho bài toán này.
Problem-22
Tìm độ phức tạp của hàm đệ quy:

Solution: Chúng ta hãy thử giải quyết function này bằng cách substitution(thay thế):
=> Complexity là .
Problem-23
Xác định running time của function sau:
public void Funtion(int n) {
int i = 1, s = 1;
while(s <= n) {
i++;
s = s + i;
System.out.println("*");
}
}
Ta có thể xác định theo quan hệ với giá trị của tăng 1 sau mỗi vòng lặp.
Giá trị chứa trong ‘s’ ở lần lặp thứ i là tổng của các số nguyên dương ‘i’ đầu tiên.
Giả sử k là tổng số lần lặp được thực hiện bởi chương trình, thì vòng lặp while kết thúc nếu:
Problem-24
Xác định running time của function sau:
public void Funtion(int n) {
int i = 1, count = 0;
for (i = 0; i*i <= n; i++) {
count++;
}
}
Solution: Trong hàm được đề cập ở trên, vòng lặp sẽ kết thúc, nếu . Tương tự Problem-23
Problem-25
Xác định running time của function sau:
public void Funtion(int n) {
int i,j,k, count = 0;
for(i = n/2; i <= n; i++){
for(j = n/2; j <= n; j++){
for(k = n/2; k <= n; k = k*2){
count++;
}
}
}
}
Solution: Chúng ta hãy xem lại code, mình sẽ comment chi tiết ở từng vòng lặp
public void Funtion(int n) {
int i,j,k, count = 0;
//Vòng lặp ngoài cùng thực thi n/2 lần
for(i = n/2; i <= n; i++){
//Vòng lặp giữa thực thi n/2 lần
for(j = 1; j + n/2 <= n; j++){
//Vòng lặp trong cùng thực thi logn lần
for(k = n/2; k <= n; k = k*2){
count++;
}
}
}
}
=> Complexity của function trên là
Problem-26
Xác định running time của function sau:
public void Funtion(int n) {
int i,j,k, count = 0;
for(i = n/2; i <= n; i++){
for(j = 1; j <= n; j = 2*j){
for(k = n/2; k <= n; k = k*2){
count++;
}
}
}
}
Solution: Chúng ta hãy xem lại code, mình sẽ comment chi tiết ở từng vòng lặp
public void Funtion(int n) {
int i,j,k, count = 0;
//Vòng lặp ngoài cùng thực thi n/2 lần
for(i = n/2; i <= n; i++){
//Vòng lặp giữa thực thi logn lần
for(j = 1; j <= n; j = 2*j){
//Vòng lặp trong cùng thực thi logn lần
for(k = n/2; k <= n; k = k*2){
count++;
}
}
}
}
=> Complexity của function trên là
Problem-27
Xác định running time của function sau:
public void Funtion(int n) {
if(n == 1) return;
for (int i = 1; i <= n; i++) {
for (int j = 1; j <= n; j++) {
System.out.println("*");
break;
}
}
}
Solution: Chúng ta hãy xem lại code, mình sẽ comment chi tiết ở từng vòng lặp
public void Funtion(int n) {
//constant time
if(n == 1) return;
//Vòng lặp ngoài cùng thực thi n lần
for (int i = 1; i <= n; i++) {
//Vòng lặp trong chỉ thực thi 1 lần do lệnh break;
for (int j = 1; j <= n; j++) {
System.out.println("*");
break;
}
}
}
=> Complexity của function trên là . Mặc dù vòng lặp bên trong có giới hạn là n, nhưng do câu lệnh break nên nó chỉ được thực thi một lần.
Problem-28
Một hàm đệ quy cho thời gian chạy của function cho dưới đây. Chứng minh bằng phương pháp lặp rằng .
public void Funtion(int n) {
if(n == 1) return;
for (int i = 1; i <= n; i++) {
for (int j = 1; j <= n; j++) {
System.out.println("*");
}
}
Funtion(n-3);
}
Solution: Chúng ta hãy xem lại code, mình sẽ comment chi tiết ở từng vòng lặp
public void Funtion(int n) {
//constant time
if(n == 1) return;
//Vòng lặp ngoài cùng thực thi n lần
for (int i = 1; i <= n; i++) {
//Vòng lặp trong cùng thực thi n lần
for (int j = 1; j <= n; j++) {
//constant time
System.out.println("*");
}
}
Funtion(n-3);
}
Sự lặp lại đối với mã này rõ ràng là đối với một số hằng c> 0 vì mỗi lệnh gọi in ra dấu hoa thị và chính nó gọi đệ quy với . Sử dụng định lý chính Subtraction and Conquer master theorem, ta được .
Problem-29
Xác định giới hạn Θ cho hàm sau:
Solution: Sử dụng Divide and Conquer master theorem, ta được
Problem-30 (Xem thêm Problem 62)
Xác định giới hạn Θ cho hàm sau:
Solution: Thay vào phương trình lặp lại, chúng ta nhận được:
, với k là 1 constant.
=>.
All rights reserved