Hiểu hơn về BERT: Bước nhảy lớn của Google
Bài đăng này đã không được cập nhật trong 5 năm
Trong bài viết trước, các bạn đã biết được BERT là gì và những thành tựu của nó trong lĩnh vực xử lí ngôn ngữ tự nhiên. Trong bài viết này, mình sẽ đi sâu một chút để phân tích kiến trúc của BERT, cách mà nó hoạt động. Nội dung của bài viết dựa trên báo cáo nghiên cứu gốc của Google về BERT.
Nào, giờ hãy trở lại với BERT- Bidirectional Encoder Representations from Transformers.
Introduction
BERT được viết tắt của Bidirectional Encoder Representations from Transformers, một kiến trúc mới cho lớp bài toán Language Representation đươc Google công bố vào đầu tháng 11 vừa qua. Không giống như các mô hình trước đó, BERT được thiết kế để đào tạo ra các vector đại diện cho ngôn ngữ văn bản thông qua ngữ cảnh 2 chiều(trái và phải) của chúng. Kết quả là, vector đại diện được sinh ra từ mô hình BERT được tính chỉnh với các lớp đầu ra bổ sung đã tạo ra nhiều kiến trúc cải tiến đáng kể cho các nhiệm vụ xử lý ngôn ngữ tự nhiên như Question Answering, Language Inference,...mà không cần thay đổi quá nhiều từ các kiến trúc cũ.
BERT là một khái niệm đơn giản nhưng lại mang lại hiệu quả cực lớn trong thực tế. Nó đã thu được kết quả tối ưu mới nhất cho 11 nhiệm vụ xử lý ngôn ngữ tự nhiên, bao gồm việc đẩy kết quả của nhiệm vụ GLUE benchmark lên 80.4%(cải tiến thêm 7.6%) và SQuAD v.1.1 với F1 score trên tập test đạt 93.2%(cải tiến thêm 1.5%), tốt hơn con người 2%.
Lớp bài toán Representation cho mô hình ngôn ngữ đã cho thấy hiệu quả trong việc cải thiện nhiều nhiệm vụ trong lĩnh vực xử lí ngôn ngữ tự nhiên. Những nhiệm vụ này có thể là những nhiệm vụ cấp câu như Natural language inference, Paraphrasing nhằm dự đoán mối quan hệ giữa các câu bằng cách phân tích tổng thể chúng và cũng có thể là những nhiệm vụ cấp từ như nhận dạng thực thể có tên(NER), Question Answering với yêu cầu trả ra kết quả chính xác cho câu hỏi ở dạng từ,...
Có 2 chiến lược để sử dụng các biểu diễn ngôn ngữ được huấn luyện trước này cho các nhiệm vụ về sau, gồm feature-based và fine-tuning(Bạn có thể tìm hiểu thêm tại đây).
Tuy nhiên, các kỹ thuật hiện tại bị hạn chế rất nhiều trong việc thể hiện khả năng của các mô hình vector đại diện, đặc biệt là hướng tiếp cận fine-tuning. Hạn chế chính ở đây là do các mô hình ngôn ngữ được xây dựng dựa trên ngữ cảnh 1 chiều gây nên sự hạn chế trong việc lựa chọn mô hình kiến trúc được sử dụng trong quá trình sử dụng pre-training. Ví dụ như trong OpenAI GPT, các tác giả sử dụng kiến trúc left-to-right, nghĩa là các tokens chỉ phụ thuộc vào các token ở trước đó.
Trong kiến trúc mới này, chúng ta sẽ được cung cấp một hướng tiếp cận dựa trên fine-tuning đã khắc phục được những hạn chế đó, được gọi là Bidirectional Encoder Representations from Transformers.
BERT
Trong phần này, chúng ta sẽ đề cập đến kiến trúc của mô hình BERT và cách xây dựng đầu vào cho BERT, các nhiệm vụ xử lý ngôn ngữ tự nhiên để tạo pre-train model cũng như đề cập tới những sự đổi mới cốt lõi của kỹ thuật này so với các bài báo trước đó.
Kiến trúc
Đầu tiên, ta cùng xem xét tới kiến trúc của mô hình BERT.
Kiến trúc của mô hình BERT là một kiến trúc đa tầng gồm nhiều lớp Bidirectional Transformer encoder dựa trên bản mô tả đầu tiên của Vaswani et al. (2017) và sự phát hành trong thư viện tensor2tensor. Việc sử dụng các Transformers đã trở nên phổ biến trong thời gian gần đây và vì đây không phải trọng tâm của bài viết này nên chúng ta sẽ cùng xem lại 1 chút về kiến trúc qua các bài viết Attention is All You Need và bài viết Transformer Networks. Có thể mình sẽ đi sâu vào các kiến trúc này qua các bài viết sắp tới.
Trong bài báo này, chúng ta sẽ gọi L là số lớp Transformer(blocks) được sử dụng với kích thước của các lớp ẩn là H và số heads ở lớp attention là A. Trong mọi trường hợp, kích thước của bộ lọc(filter size) luôn được đặt bằng 4H. Điều này có nghĩa là khi H = 768 thì filter size = 3072 và hoặc khi H = 1024 thì filter size = 4096. Báo cáo chủ yếu lấy kết quả trên 2 kích thước mô hình:
- : L=12, H=768, A=12, Total Parameters=110M
- : L=24, H=1024, A=16, Total Parameters=340M
đã được chọn để có một kích thước mô hình giống hệt như mô hình OpenAI GPT để nhằm mục đích so sánh giữa 2 mô hình này. Tuy nhiên, một cách đơn giản để so sánh, BERT Transformer sử dụng các attention 2 chiều trong khi GPT Transformer sử dụng các attention 1 chiều(không tự nhiên, không hợp với cách mà xuất hiện của ngôn ngữ), nơi mà tất cả các từ chỉ chú ý tới ngữ cảnh trái của nó.
Có một chú thích nhỏ rằng, một Transformer 2 chiều thường được gọi là Transformer encoder trong khi các phiên bản Transformer chỉ sử dụng ngữ cảnh bên trái thường được gọi là Transformer decoder vì nó có thể được sử dụng để tạo ra văn bản. Sự so sánh giữa BERT, OpenAI GPT và ELMo được hiện thị 1 cách trực quan dưới đây:

Input Representation
Trong phần này, chúng ta sẽ được biết về biểu diễn đầu vào cho BERT.
Ở đây, đầu vào của chúng ta có thể là biểu diễn của một câu văn bản đơn hoặc một cặp câu văn bản(ví dụ: [Câu hỏi, câu trả lời]) được đặt thành 1 chuỗi tạo bởi các từ.
Khi có một chuỗi đầu vào cụ thể, biểu diễn đầu vào của chúng ta được xây dựng bằng cách tính tổng các token đó với vector phân đoạn và vị trí tương ứng của các từ trong chuỗi.
Cho dễ hình dung, biểu diễn đầu vào được trực quan hóa trong hình dưới đây:

Một số điểm cần chú ý:
- Chúng ta sử dụng WordPiece embeddings (Wu et al., 2016) với một từ điển 30.000 từ và sử dụng ## làm dấu phân tách. Ví dụng từ playing được tách thành play##ing.
- Chúng ta sử dụng positional embeddings với độ dài câu tối đa là 512 tokens.
- Token đầu tiên cho mỗi chuỗi được mặc định là một token đặc biệt có giá trị là [CLS]. Đầu ra của Transformer(hidden state cuối cùng) tương ứng với token này sẽ được sử dụng để đại diện cho cả câu trong các nhiệm vụ phân loại. Nếu không trong các nhiệm vụ phân loại, vector này được bỏ qua.
- Trong trường hợp các cặp câu được gộp lại với nhau thành một chuỗi duy nhất, chúng ta phân biệt các câu theo 2 cách. Đầu tiên, chúng ta tách chúng bở một token đặc biệt [SEP]. Thứ hai, chúng ta thêm một segment embedding cho câu A và một segment embedding khác cho câu B như hình vẽ.
- Khi chỉ có 1 câu đơn duy nhất, segment embedding của chúng ta chỉ có cho câu A.
Pre-training Tasks
Bây giờ, chúng ta sẽ tiếp tục với các nhiệm vụ để tạo ra mô hình cho BERT.
Chúng ta đào tạo BERT bằng cách sử dụng 2 nhiệm vụ dự đoán không giám sát được gọi là Masked LM và Next Sentence Prediction. Cả 2 sẽ được trình bày ngay trong phần nội dung dưới đây.
Masked LM
Trực quan mà thấy, một mô hình học sâu được học dựa trên ngữ cảnh 2 chiều là tự nhiên và mạnh mẽ hơn nhiều so với một mô hình chỉ dùng ngữ cảnh từ trái qua phải (hoặc ngược lại).
Tuy nhiên, thật không may, các mô hình ngôn ngữ trước đây chỉ có thể đào tạo từ trái qua phải hoặc từ phải qua trái. Lý do được lý giải là vì khi sử dụng ngữ cảnh 2 chiều sẽ gây ra một nghịch lý là một từ có thể gián tiếp tự nhìn thấy nó trong một ngữ cảnh nhiều lớp.
Để đào tạo một mô hình tìm ra đại diện dựa vào ngữ cảnh 2 chiều, chúng ta sử dụng một cách tiếp cận đơn giản để che giấu đi một số token đầu vào một cách ngẫu nhiên và sau đó chúng ta chỉ dự đoán các token được giấu đi đó và gọi nhiệm vụ này như là một "masked LM"(MLM). Trong trường hợp này, các hidden vectors ở lớp cuối cùng tương ứng với các tokens được ẩn đi được đưa vào 1 lớp softmax trên toàn bộ tự vựng để dự đoán. Các nhà nghiên cứu của Google đã thử nghiệm mask 15% tất cả các token lấy từ từ điển của WordPiece trong câu một cách ngẫu nhiên là chỉ dự đoán các từ được mask.
Mặc dù điều này cho phép chúng ta có được một mô hình đào tạo 2 chiều, nhưng có 2 nhược điểm tồn tại. Đầu tiên là chúng ta đang tạo ra một sự không phù hợp giữa pre-train và fine-tuning vì các token được [MASK] không bao giờ được nhìn thấy trong quá trình tinh chỉnh mô hình. Để giảm thiểu điều này, chúng ta sẽ không phải lúc nào cũng thay thế các từ được giấu đi bằng token [MASK]. Thay vào đó, trình tạo dữ liệu đào tạo chọn 15% tokens một cách ngẫu nhiên và thực hiện các bước như sau:
Ví dụ với câu: "con_chó của tôi đẹp quá" Từ được chọn để mask là từ "đẹp".
- Thay thế 80% từ được chọn trong dữ liệu huấn luyện thành token [MASK] --> "con_chó của tôi [MASK] quá"
- 10% các từ được chọn sẽ được thay thế bởi 1 từ ngẫu nhiên. --> "con_chó của tôi máy_tính quá"
- 10% còn lại được giữ không thay đổi --> "con_chó của tôi đẹp quá"
Transformer encoder không hề biết được từ nào sẽ được yêu cầu dự đoán hoặc từ nào đã được thay thế bằng một từ ngẫu nhiên, do đó, nó buộc phải giữ một biểu diễn theo ngữ cảnh của mối token đầu vào. Ngoài ra, do thay thế 1.5% tất cả các tokens bằng một từ ngẫu nhiên nên điều này dường như sẽ không làm ảnh hưởng tới khả năng hiểu ngôn ngữ của mô hình.
Nhược điểm thứ 2 của việc sử dụng MLM là chỉ có 15% tokens được dự đoán trong mỗi lô, điều này gợi ý cho ta 1 điều là có thể cần thêm các các bước sử dụng các pre-train model khác để mô hình hội tụ.
Next Sentence Prediction
Nhiều nhiệm vụ quan trọng trong xử lý ngôn ngữ tự nhiên như Question Answering yêu cầu sự hiểu biết dựa trên mối quan hệ giữa 2 câu văn bản, không trực tiếp sử dụng được các mô hình ngôn ngữ. Để đào tạo được mô hình hiểu được mối quan hệ giữa các câu, chúng ta xây dựng một mô hình dự đoán câu tiếp theo dựa vào câu hiện tại, dữ liệu huẩn luyện có thể là một corpus bất kỳ nào. Cụ thể, khi chọn câu A và câu B cho mỗi training sample, 50% khả năng câu B là câu tiếp theo sau câu A và 50% còn lại là một câu ngẫu nhiên nào đó trong corpus.
Ví dụ:
Input: [CLS] người đàn_ông làm [MASK] tại cửa_hàng [SEP] anh_ta rất [MASK] và thân_thiện [SEP]
Label: isNext
Input: [CLS] người đàn_ông làm [MASK] tại cửa_hàng [SEP] cô_ta đang cầm súng [SEP]
Label: notNext
Chúng ta chọn những câu notNext một cách ngẫu nhiên và mô hình cuối cùng đạt được độ chính xác 97%-98% trong nhiệm vụ này.
Pre-training Procedure
Chúng ta sử dụng 2 bộ dữ liệu cho quá trình đào tạo là BooksCorpus (800M words) (Zhu et al., 2015) và English Wikipedia (2,500M words). Đối với Wikipedia, chúng ta chỉ trích xuất các đoạn văn bản và bỏ qua các danh sách, bảng và tiêu đề. Điều quan trọng là sử dụng một kho văn bản ở mức độ đoạn(bài văn) chứ không phải là một tập hợp các câu bị xáo trộn.
Để tạo ra một chuỗi đầu vào cho quá trình đào tạo, chúng ta lấy mẫu gồm 2 spans liên tiếp nhau trong corpus mà chúng ta tạm gọi đấy là các câu mặc dù chúng thường dài hơn nhiều so với các câu đơn thông thường(hoặc cũng có thể ngắn hơn). Chúng ta lấy mẫu sao cho sau khi kết hợp, chiều dài của mẫu kết hợp tối đa chứ 512 tokens. Các mask cho MLM vẫn được sử dụng sau khi áp dụng WordPiece tokenization với một tỷ lệ thống nhất là 15%.
Việc đào tạo được thực hiện trên 4 Cloud TPUs với tổng số 16 chíp TPUs. Việc đào tạo được thực hiện trên 16 Cloud TPUs với tổng số 64 chíp. Thời gian thực hiện mỗi lần training là khoảng 4 ngày.
Fine-tuning Procedure
Đối với các nhiệm vụ phân loại câu, BERT được fine-tuning rất đơn giản. Để có được biểu diễn của một chuối đầu vào với số chiều cố định, chúng ta chỉ cần lấy hidden state ở lớp cuối cùng, tức là đầu ra của lớp Transformer cho token đầu tiên(token đặc biệt [CLS] được xây dựng cho đầu chuỗi). Chúng ta gọi vector này là C (). Chỉ có 1 tham số được thêm vào trong quá trình fine-tuning là với K là số nhãn lớp phân loại. Xác suất của nhãn P là một phân phối với được tính toán bởi 1 hàm softmax . Tất cả các tham số của BERT và W được fine-tuning để tối ưu hóa hàm lỗi.
Các thử nghiệm của BERT
Kết quả fine-tuning của BERT đã đạt được kết quả tốt hơn nhiều so với các mô hình pre-train trước đó. Phần này chúng ta cùng xem qua một vài nhiệm vụ mà BERT đã thực hiện trước khi đi vào codding ở bài viết sau.
GLUE Datasets
General Language Understanding Evaluation (GLUE) là một tập các tập dữ liệu cho nhiệm vụ hiểu ngôn ngữ tự nhiên(NLU).
Những tập dữ liệu trong GLUE có thể kể đến bao gồm:
- MNLI: Multi-Genre Natural Language Inference là một nhiệm vụ phân loại sự đồng thuận của cộng đồng. Cho một cặp câu và mục đích là dự đoán liệu câu thứ 2 có phải là một câu tán thành, đối lập hay trung lập với câu đầu tiên.
- QQP: Quora Question Pairs là một nhiệm vụ phân loại nhị phân, mục tiêu là xác định xem hai câu hỏi được hỏi trên Quora có tương đương về mặt ngữ nghĩa hay không.
- QNLI: Question Natural Language Inference là một phiên bản của Stanford Question Answering Dataset đã được chuyển đổi thành một nhiệm vụ phân loại nhị phân. Các mẫu dương là các cặp câu hỏi và câu chứa đáp án, các mẫu âm là các cặp câu hỏi và câu không chứa đáp án cho câu hỏi.
- SST-2: Stanford Sentiment Treebank là một nhiệm vụ phân loại nhị phân một câu bao gồm các câu được trích xuất từ các bài đánh giá phim và được gán nhãn lại bởi con người về tình cảm/quan điểm của chúng.
- CoLA: Corpus of Linguistic Acceptability là một nhiệm vụ phân loại nhị phân một câu, mục tiêu là dự đoán một câu Tiếng Anh là chấp nhận được về mặt ngôn ngữ học hoặc không.
- STS-B: Semantic Textual Similarity Benchmark là một tập hợp các cặp câu từ các tiêu đề tin tức và các nguồn khác. Chúng được gán nhãn từ 1 đến 5 thể hiện mức độ tương tự về mặt ngữ nghĩa của chúng.
- MRPC: Microsoft Research Paraphrase Corpus bao gồm các cặp câu được tự động trích xuất từ các nguồn tin tức trực tuyến, được gán nhãn bởi con người thể hiện 2 câu có tương đồng về mặt ngữ nghĩa hay không.
- RTE: Recognizing Textual Entailment là một nhiệm vụ phân loại nhị phân tương tự như MNLI nhưng với ít dữ liệu hơn.
Để fine-tuning BERT trên GLUE, chúng ta biểu diễn các chuỗi đầu vào hoặc cặp chuỗi đầu vào như phần mô tả trước đấy về biểu diễn input và chúng ta sử dụng vector từ hidde layer cuối cùng () tương ứng với token đầu tiên [CLS], coi đây như là 1 vector tổng hợp. Những tham số mới được fine-tuning được cho vào một classification layer với trọng số , K là sô nhãn cần được phân loại.
Mô hình được train với batch size bằng 32, training qua 3 epochs với hết dữ liệu trong tất cả các nhiệm vụ thuộc GLUE. Kết quả được thể hiện trong bảng dưới đây.

SQuAD v1.1
Standford Question Answering Dataset (SQuAD) là một tập dữ liệu gồm 100k sample được đóng góp bởi cộng đồng với cặp câu hỏi/ câu trả lời. Đưa ra một câu hỏi và một đoạn văn từ Wikipedia với nội dung chứa câu trả lời, nhiệm vụ là dự đoán xem đâu là câu(đoạn nhỏ) chứa câu trả lời. Ví dụ:

Nhiệm vụ dự đoán câu trả lời(đoạn chứa câu trả lời) này rất khác so với nhiệm vụ phân loại chuỗi của GLUE, nhưng chúng ta có thể điều chính BERT để chạy trên SQuAD một cách đơn giản. Cũng giống như GLUE, chúng ta biểu diễn câu hỏi đầu vào và đoạn văn trên Wikipedia như một chuỗi duy nhất cách nhau bởi token đặc biệt [SEP].
Những tham số được học mới sau quá trình fine-tuning được kí hiệu là ()(start) và ()(end). Lấy vector ở lớp hindden cuối cùng từ BERT cho mỗi đoạn đầu, vector cho token thứ i trong đoạn được kí hiệu là (). Sau đó, chúng ta xác định xác suất của token thứ i để trở thành từ đầu tiên cho câu trả lời sau đó tính toán tích vô hướng giữa 2 vector và , sử dụng softmax cho tất cả các từ trong đoạn đầu vào.

Tương tự ta làm vậy để xác định token cuối của câu trả lời. Mục tiêu của quá trình đào tạo là loglikelihood của các giá trị bắt đầu và kết thúc cho đáp án.
Chúng ta sử dụng thêm 1 điều kiện là token bắt đầu luôn phải ở trước token kết thúc(tất nhiên rồi) nhưng không có dự đoán khác được sử dụng.
Mô hình được đào tạo với 3 epochs, learning rate là 5e-5 và batch size là 32. Kết quả đạt được được thể hiện trong bảng dưới.

Named Entity Recognition
Đánh giá hiệu năng của một nhiệm vụ gán nhãn cho từng tokens, BERT đã fine-tuning trên tập dữ liệu CoNLL 2003 Named Entity Recognition (NER). Đây là tập dữ liệu gồm 200k từ được gán nhãn bằng tay với các nhãn là Person(tên người), Organization(tên tổ chức), Location(tên địa danh), Miscellaneous(tên sản phẩm,...) và Other (không phải thực thể có tên).
Để fine-tuning, chúng ta cần sử dụng trọng số ở lớp hidden cuối cùng cho mỗi token i là () cho vào một classification layer với tập label là số nhãn NER. Kết quả được thể hiện trong bảng dưới đây.

SWAG
Situations With Adversarial Generations (SWAG) là một tập dữ liệu chứ 113k ví dụ hoàn thành câu mà bạn phải đánh giá, suy luận để hoàn thành chúng. Với một câu từ tập dữ liệu, nhiệm vụ là quyết định xem trong bốn lựa chọn đó thì lựa chọn nào là hợp lý nhất.
Ví dụ:

Việc sử dụng BERT trong nhiệm vụ của SWAG tương tư như khi áp dụng nó cho GLUE. Đối với mỗi ví dụ, chúng ta xây dựng 4 chuỗi đầu vào dựa trên 4 đáp án và câu ban đầu, mỗi chuỗi đó được ghép nối bởi câu đã cho(câu A) với câu ghép nối phù hợp(câu B).
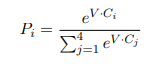
Sau khi fine-tuning thu được vector đại diện V cho câu A và cho câu B thứ i, tích tích vô hướng giữa chúng ta được 1 điểm score cho mỗi đáp án, áp dụng hàm phân phối softmax lên chúng.

Sau 3 epochs với learning rate bằng 2e-5 và batch size bằng 16. Kết quả mà Google đạt được được hiển thị dưới đây.

Mô hình của các bài toán trên được thể hiện trong hình dưới đây:

Hy vọng sau bài này, chúng ta sẽ có những hiểu biết hơn về mô hình mới này của Google. Biết đâu trong một ngày không xa nữa có thể áp dụng được cho các bài toán xử lý ngôn ngữ tự nhiên cho tiếng Việt, coi đây như một cú hích cho cộng đồng VNLP.
Bài viết khá dài, nếu bạn đọc được đến dòng này thì "Xin cảm ơn rất nhiều!!!  ) "
) "
Tài liệu tham khảo
All rights reserved
 
  
  
 
