Internet hoạt động như thế nào?
Bài đăng này đã không được cập nhật trong 2 năm
Bài viết này sẽ giải thích Internet là gì? cách nó hoạt động như thế nào? Mời mọi người theo dõi
PS: Bản dịch sẽ có sai sót về lỗi chính tả hoặc hướng nhìn chủ quan của người dịch, các bạn nên đọc kỹ bài gốc để có thể nắm rõ hơn về kiến thức được chia sẽ trong bài.
Tổng quang
Internet là phần xương sống của web, nó là cơ sở hạ tầng về kỹ thuật giúp cho một trang web có thể hoạt động. Về mặt bản chất thì internet chính là một mạng lưới khổng lồ các máy tính cùng giao tiếp với nhau.
Lịch sử hình thành của Internet có nhiều thứ khá mơ hồ. Internet được khởi sướng như một dự án nghiên cứu được đầu tư bởi quân đội Mỹ vào đầu những năm 1960s. Sau đó vào những năm 1980s, nó tiếp tục được phát triển trở thành một hệ thống cơ sở hạ tầng chung nhờ sự hỗ trợ của các trường đại học và một số doanh nghiệp tư nhân thời đó. Các công nghệ khác hỗ trợ sự phát triển của Internet cũng đã phát triển rất nhiều nhưng bản chất cách hoạt động của internet thì lại không thay đổi quá nhiều. Internet vẫn là một phương thức để kết nối tất cả các máy tính lại với nhau và đảm bảo rằng chúng sẽ luôn duy trì được việc kết nối dù có vấn đề gì xãy ra.
Tham khảo nhanh
- How the internet Works in 5 minutes - Video ngắn gọn dễ hiểu của tác giả Aaron Titus trình bày khái niệm cơ bản về internet.
- How does the Internet work? - Video dài 9 phút mô tả chi tiết hơn về internet.
Đi sâu hơn về khái niệm
Một network cơ bản
Khi 2 máy tính muốn giao tiếp với nhau, chúng ta phải tìm cách để link chúng lại với nhau. Kể cả việc dùng dây cáp vật lý (Ethernet cable) hoặc kết nối không giây như wifi hoặc bluetooth, hiện tại tất cả các máy tính đều có khả năng kết nối bằng tất cả các hình thức đó.
Note: Trong bài viết này chúng ta sẽ chỉ nói về kết nối bằng dây cáp vật lý nhưng wireless vốn dĩ cách thức hoạt động của nó cũng tương tự.

Một network đúng nghĩa thì không thể nào giới hạn kết nổi chỉ có 2 máy tính với nhau, bạn sẽ có thể connect bao nhiêu máy tính tuỳ thích, nhưng câu chuyện sẽ không đơn giản như vậy. Giả sử bạn có 10 cái máy tính muốn connect tất cả với nhau bạn sẽ cần tới 45 dây cáp nối, mỗi máy tính sẽ phải có tới 5 cổng kết nối. Hú hồn, hú zía liền !!

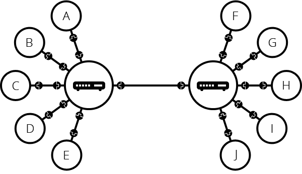
Để giải quyết vấn để khủng bố này thì mỗi máy tính trong network sẽ chỉ cần connect với một cái máy tính nho nhỏ đặt biệt gọi là router. Máy tính router này sẽ chỉ làm đúng một nhiệm vụ duy nhất giống như "chú đưa thư vậy đó", nó sẽ đảm bảo được tinh nhắn của máy gửi sẽ được đưa đến chính xác máy nhận. Ví dụ máy A muốn gửi message đến máy B thì trước tiên nó sẽ gửi message đó tới router sau đó router sẽ foward message đó tới máy B, và nó sẽ đảm bảo là phải tới được đúng máy B chứ ko phải máy C hay D nào đó.
Khi chúng ta đưa router vào hệ thống thì lúc đó network của chúng ta sẽ gọn gàng dễ mến hơn rất nhiều, 10 máy tính lúc nào chỉ cần 10 dây cáp nối, mỗi náy cũng chỉ cần một cổng kết nối, và lúc đó máy router sẽ có 10 cổng kết nối để support được 10 máy tính trong network.

A network of networks (Mạng lưới của các mạng lưới)
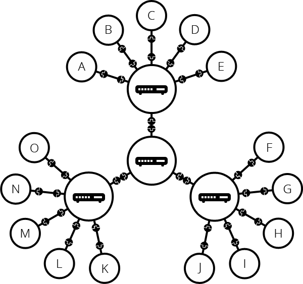
Tới đây thì thấy cũng ổn ổn rồi đó. Nhưng mà nếu như con số các máy tính không dựng lại ở 10 máy, giờ hàng trăm, hàng ngàn, hàng triệu máy tính cùng muốn kết nối với nhau thì sao? Một router thì làm sao có thể scale lên tới mức đó, nhưng mà nghĩ kỹ lại như thế này, ở trên tôi có đề cập rằng một máy router bản chất nó cũng là một cái máy tính thôi, và việc của chúng ta đơn giản là cứ connect các máy router với nhau là được.

Việc connect computers to router, routers to routers, chúng ta có thể scale up lên được một mạng lưới khổng lồ không giới hạn.

Nhìn có vẽ đáp ứng được yêu cầu để được coi là internet rồi nhỉ, nhưng mà chưa đâu. Network như thế này thì mới chỉ phục vụ riêng cho chúng ta thôi. Ở ngoài kia còn rất nhiều các network khác: nhà bạn bè, hàng xóm, ... toàn thể thế giới. Nhưng không thể nào chúng ta cứ nối cổng từ nhà bạn với toàn thể thế giới được, dây cáp, cổng cấp đâu cho đủ mà nối, vậy giờ phải làm sao? À thực ra thì nhà bạn vốn dĩ đã được kết nối rồi, thông qua dây điện, đường truyền điện thoại. Cơ sở hạ tầng của điện thoại đã kết nối nhà bạn với toàn thể thế giới ngoài kia, đây chính là đường dây chuẩn chỉnh nhất mà chúng ta cần (DSL). Để kết nối mạng của chúng ta với cơ sở hạ tầng điện thoại, chúng ta cần một thiết bị đặc biệt khác gọi là modem. Thiết bị này nó sẽ chuyển hoá thông tin trong network của chúng ta thành thông tin có thể đọc được, và manage được ở đường dây điện thoại và ngược lại.

Rồi bây giờ chúng ta đã có thể connect được network riêng vào đường dây điện thoại. Việc tiếp theo là làm sao để gửi message từ nextwork của chúng ta tới một network khác mà chúng ta muốn. Để làm được như vậy, chúng ta sẽ phải kết nối network của chúng ta với một ISP (Internet Service Provider). ISP là một công ty, cty đó có cơ sở hạ tầng là một lượng các máy router đặc biệt có khả năng link tất cả lại với nhau và còn có thể kết nối với các routers đặt biệt khác của các ISPs khác (nhà mạng khác). Vì vậy cho nên, message của chúng ta khi gởi đi sẽ được truyền tới router của một ISP - nhà mạng nào đó và sẽ được ISP đó truyền sang cho các ISP khác và sau đó sẽ đến được đúng network mà message cần được gửi tới. Internet bao gồm toàn bộ cơ sở hạ tầng của các network là như vậy.

Ngày xưa sài đường dây điện thoại DLS, giờ xịn xò hơn sài cáp quang cáp đồng rồi nhé mọi người, nhưng cơ bản cách hoạt động cũng như nhau.
Finding computers
Nếu bạn muốn gửi một message tới một chiếc máy tính nào đó, bạn sẽ phải xác định được danh tính của máy đó. Bởi vì bất kỳ một máy tính nào muốn link vào một network thì đều phải có một địa chỉ định danh duy nhất nào đó, nó được gọi là IP address (IP viết tắt là Internet Protocal). Nó là một địa chỉ được cấu thành từ một chuỗi 4 số nối với nhau bằng giấu chấm ".", ví dụ: 192.0.2.172
Đối với máy tính thì chuỗi số này trông có vẽ cũng ổn, thế nhưng với con người thì không ổn lắm, việc nhớ chính xác mấy con số này cũng không dễ chút nào. Để dễ dàng hơn, chúng ta có thể dùng một chuỗi ký tự dễ hiểu dễ nhớ đối với con người để đại hiện cho các IP address này, chuỗi đó được gọi là domain name. Thí dụ (địa chỉ IP lúc bạn đọc bài này có thể đã thay đổi rồi) google.com là domain name đại diện cho IP address 142.250.190.78 .

Note: Hiện tại thì google có vẽ đã giấu địa chỉ IP đi, khi gõ IP address vào browser thì đã được tự động redirect tới domain name
Internet and the web
Nếu bạn để ý thì khi chúng ta duyệt một website trên browser, chúng ta dùng domain name của website đó để reach đến nó. Vậy không lẽ Internet với web giống nhau sao? Không, không đơn giản như thế. Như chúng ta biết, Internet là một cơ sỡ hạ tầng cho phép kết nối hàng triệu, hàng tỉ các máy tính với nhau. Trong số đó, một số máy tính (gọi là Web server) có thể gửi message dễ hiểu, dễ đọc đến web browser của chúng ta. Vậy thì khi Internet là một cơ sở hạ tầng thì Web là một service được xây dựng trên cơ sở hạ tầng đó. Điều đáng chú ý là có một số service khác cũng được xây dựng dựa trên Internet như là email hoặc IRC (Internet Relay Chat)
Intranets and Extranets (Mạng nội bộ, mạng ngoại vi)
Intranets là một mạng nội bộ được giới hạn số người truy cập của một tổ chức cụ thể nào đó. Nó thường được dùng để cung cấp một cổng thông tin để các thành viên nội bộ có thể truy cập và chia sẽ dữ liệu nội bộ với nhau một cách an toàn. Ví dụ: mạng nội bộ của tổ chức có thể lưu trữ các trang web để chia sẻ thông tin của bộ phận hoặc nhóm, bộ nhớ dùng chung để quản lý các tài liệu và tệp quan trọng, cổng để thực hiện nhiệm vụ quản trị kinh doanh và các công cụ cộng tác như wiki, diễn đàn thảo luận và hệ thống nhắn tin.
Extranets thì cũng tương tự như mạng Intranets, chỉ có điều nó cho phép tất cả các reques truy cập hoặc nó là một phần của một mạng nội bộ nào đó và cho phép kết nối với các mạng nội bộ khác. Chúng thường được sử dụng để chia sẻ thông tin một cách an toàn và bảo mật với khách hàng và các bên liên quan hợp tác chặt chẽ với doanh nghiệp. Thông thường, các chức năng của chúng tương tự như các chức năng được cung cấp bởi mạng nội bộ: chia sẻ thông tin và tệp, công cụ cộng tác, diễn đàn thảo luận, v.v.
Cả Intranets và Extranets đều chạy trên cùng loại cơ sở hạ tầng như Internet và sử dụng cùng giao thức kết nối. Do đó, chúng có thể được truy cập bởi các thành viên được ủy quyền từ các địa điểm thực tế khác nhau.

Bài viết này
bởi
Hạ Quỳnh Nguyễn
được cấp phép theo
CC BY-NC 4.0