Breaking Down Object-Oriented Ruby
Bài đăng này đã không được cập nhật trong 6 năm
Quản lý code bằng cách chia nhỏ một trong những phần quan trọng nhất của lập trình, đồng thời cũng có thể là một trong những thách thức nhất. Lập trình hướng đối tượng (OOP) trong Ruby cũng không ngoại lệ. Quy trình chung của tôi để phá vỡ OO Ruby như sau:
Bước 1: mối quan hệ giữa các đối tượng
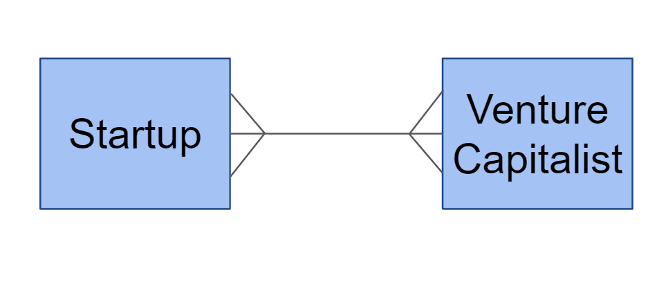
Trước khi bắt đầu, bạn cần hiểu mối quan hệ giữa các đối tượng. Trong bài viết này, chúng ta sẽ xem xét một nhóm gồm ba đối tượng.
Một công ty khởi nghiệp (startup) có thể có nhiều nhà đầu tư mạo hiểm (venture capitalists), và một nhà đầu tư mạo hiểm có thể hỗ trợ nhiều công ty khởi nghiệp. Đây được gọi là mối quan hệ many-to-many.

Các công ty khởi nghiệp và nhà đầu tư mạo hiểm này được kết nối bằng các vòng tài trợ (funding round). Một công ty khởi nghiệp và một nhà đầu tư mạo hiểm có thể có nhiều vòng cấp vốn. Nhưng khi một nhà đầu tư mạo hiểm ủng hộ một công ty khởi nghiệp, điều đó xảy ra thông qua một vòng cấp vốn cá nhân. Mối quan hệ giữa ba lớp này được gọi là mối quan hệ has-many-through.

Bởi vì mối quan hệ many-to-many giữa một công ty khởi nghiệp và một nhà đầu tư mạo hiểm tồn tại thông qua một vòng cấp vốn, nên vòng tài trợ là joiner.
Bước 2: xây dựng 2 class chính
Bây giờ chúng ta đã xác định được joiner, chúng ta có thể bắt đầu xây dựng các class. Khi xây dựng các class, joiner luôn được xây dựng cuối cùng. Đầu tiên hãy khai báo class startup như sau:
class Startup
end
Tiếp theo, chúng ta sẽ thêm một số thông tin cơ bản và phương thức khởi tạo. Một startup được khởi tạo với name, founder và domain nên chúng ta sẽ thêm như sau:
class Startup
@@all = []
attr_accessor :name
attr_reader :founder, :domain
def initialize(name, founder, domain)
@name = name
@founder = founder
@domain = domain
@@all << self
end
end
Lưu ý rằng name của một startup có thể thay đổi, nhưng founder và domain của nó thì không thể. Ví vậy name sẽ được khai báo bằng attr_accessor, còn founder và domain sẽ được khai báo bằng attr_reader. Ngoài ra, lớp được khai báo với một mảng @@all trống và phương thức khởi tạo thêm từng instance của class vào mảng này. Điều này cho phép chúng ta theo dõi tất cả các instance chúng ta tạo.
Bây giờ chúng ta đã có thông tin cơ bản cho class startup, hãy để xây dựng thông tin cơ bản cho class đầu tư mạo hiểm. Ở đây chúng ta hãy coi rằng nhà đầu tư mạo hiểm sẽ có 2 thuộc tính là name và total_month có thể thay đổi được như sau:
class VentureCapitalist
@@all = []
attr_accessor :name, :total_worth
def initialize(name, total_worth)
@name = name
@total_worth = total_worth
@@all << self
end
end
Bước 3: xây dựng class joiner
Tiếp theo sẽ xây dựng class joiner. Class joiner sẽ được khởi tạo với 2 thuộc tính có thể thay đổi được là type và investment. Class joiner phải biết về các class mà nó tham gia để nó sẽ được khởi tạo với các instance variables cho mỗi class khác.
Khi một nhà đầu tư mạo hiểm ủng hộ một startup, họ có thể đầu tư bao nhiêu tùy thích, nhưng họ không thể lấy tiền từ startup. Để đảm bảo rằng một khoản đầu tư được khởi tạo chính xác, chúng ta sẽ sử dụng một câu lệnh if để tự động đảm bảo rằng khoản đầu tư sẽ không nhỏ hơn 0.
class FundingRound
@@all = []
attr_accessor :type, :investment
attr_reader :startup, :venture_capitalist
def initialize(startup, venture_capitalist, type, investment)
@startup = startup
@venture_capitalist = venture_capitalist
@type = type
if investment < 0
@investment = 0
else
@investment = investment.to_f
end
@@all << self
end
end
Bước 4: khai báo các method liên qua tới một class
Bây giờ chúng ta có thông tin cơ bản cho các class, chúng ta có thể bắt đầu tạo các phương thức để sử dụng thông tin này. Một lời khuyên ở đây là bạn nên viết tất cả các method chỉ liên quan đến một class trước, sau đó viết các method liên quan đến nhiều class. Method đầu tiên chúng tôi sẽ viết như sau:
def self.all
@@all
end
Đây là một method quan trọng sẽ cho phép chúng ta truy cập tất cả các instances của một class, sẽ hữu ích trong việc xây dựng các method khác. Tất cả các class trên sẽ được khai báo phương thức này.
Tiếp theo sẽ viết một method để tìm một startup với founder của nó. Để làm điều này, hãy lặp qua mảng @@all cho đến khi tìm thấy phần startup với founder phù hợp.
class Startup
[...]
def self.find_by_founder(founder_name)
self.all.find do |startup|
startup.founder == founder_name
end
end
end
Tiếp đến, một method trả về tất cả các lĩnh vực khởi nghiệp của chúng ta. Tương tư, cũng cần lặp qua mảng @@all và sử dụng map để trả về các domain
class VentureCapitalist
[...]
def self.domains
self.all.map do |startup|
startup.domain
end
end
end
Bước 5: xử lí trên nhiều class
Method tiếp theo chúng ta mong muốn là biết tất cả các investment mà một startup đã nhận được. Class startup sẽ không theo dõi thông tin đó. Thay vào đó, class funding round đang theo dõi thông tin này, vì vậy để có được tổng số tiền của một startup, chúng ta cần xem xét các vòng cấp vốn của nó.
Trước khi có thể tìm ra số tiền mà startup đã nhận được, chúng ta cần biết tất cả các vòng cấp vốn thuộc về một startup. Đây là một thông tin quan trọng và nó có thể giúp chúng ta có thêm thông tin về các vòng tài trợ khởi nghiệp và về các nhà đầu tư mạo hiểm đã đầu tư vào nó.
Để có được điều này, chúng ta sẽ lặp qua tất cả các vòng cấp vốn và chọn các startup khớp với name của startup đang tìm kiếm. Tiếp theo, sẽ lặp lại qua mảng kết quả để xác định số tiền đầu tư cho mỗi vòng cấp vốn mà một startup có. Sau đó, chúng tôi sẽ tổng hợp tất cả các khoản đầu tư đã được thực hiện trong quá trình khởi nghiệp để có được tổng số tiền của startup.
class FundingRound
[...]
def funding_rounds
FundingRound.all.select do |round|
round.startup == self
end
end
def total_funds
investments = funding_rounds.map do |round|
round.investment
end
investments.sum
end
end
Bây giờ chúng ta cần danh sách tất cả các venture capitalist đã đầu tư vào startup. Tương tự như trên thì class Startup theo dõi các venture capitalist đã ủng hộ nó, nhưng vì mỗi vòng cấp vốn theo dõi cả startup và venture capitalist, chúng ta có thể sử dụng các vòng cấp vốn để có được thông tin này.
class FundingRound
[...]
def investors
funding_rounds.map do |round|
round.venture_capitalist
end.uniq
end
end
Tương tự bây giờ chúng ta cần danh sách các startup mà venture capitalist đã đầu tư. Class VentureCapitalist không theo dõi thông tin về các startup, nhưng vì class tài trợ theo dõi cả startup và venture capitalist, chúng tôi có thể sử dụng các vòng tài trợ để có được thông tin này.
class FundingRound
[...]
def funding_rounds
FundingRound.all.select do |round|
round.venture_capitalist == self
end
end
def portfolio
self.funding_rounds.map do |round|
round.startup
end.uniq
end
end
Bước 6: kiểm tra
Trên đây chúng ta đã xây dựng tất cả ba class, thông tin về từng class và có thể nhận thông tin về các class liên quan. Điều cuối cùng chúng ta phải làm là kiểm tra để đảm bảo rằng chúng ta đã tạo ra mọi thứ chính xác.
Để làm điều này, chúng ta bắt đầu bằng cách seed data, một loạt các ví dụ về các instances mà chúng ta có thể thử nghiệm. Để kiểm tra code, chúng ta chỉ cần chạy các file trên.
Bài viết được dịch từ nguồn. Cảm ơn các bạn đã theo dõi!
All rights reserved